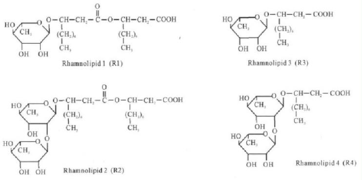
Rhamnolipids 鼠李糖酯
NatFibra™ Biosurf是由细菌发酵而来的乳化剂和表面活性剂,被广泛引用到化妆品、农业等行业。
NatFibra™ Biosurf是由细菌发酵而来的乳化剂和表面活性剂,被广泛引用到化妆品、农业等行业。

特点:绿色 Sustainability,纯净 Clean
NatFibra™ Biosurf 是由细菌发酵而来的生物基表面活性剂。它是一种水溶性的阴离子表面活性剂。鼠李糖脂强大的表面活性被广泛的应用于化妆品行业,如降低表面张力,增溶,乳化,清洁,分散和增润湿。

NatFibra™ Biosurf的特征
1. 绿色低碳 - NatFibra™ Biosurf是发酵来源,生物基。
2. 用途广泛 - 它适用于所有表面活性剂的场景。
NatFibra™ Biosurf的应用
抗菌和抗真菌剂:鼠李糖脂表现出针对各种细菌和真菌的抗菌活性,包括抗药性菌株。 它们有可能用作传染病治疗的替代或辅助治疗剂。
(参考文献:Liang等,2015; Rodrigues等,2006)(References: Liang et al., 2015; Rodrigues et al., 2006)
抗生物膜药:鼠李糖脂表明能够破坏和防止微生物生物膜的形成,这与各种感染和慢性疾病有关。 它们可以抑制生物膜的形成并增强抗菌处理的功效。
(参考:Wei和Ma,2013; Zhu等,2017)(References: Wei and Ma, 2013; Zhu et al., 2017)
伤口愈合:研究了鼠李糖脂,以促进伤口愈合和组织再生的潜力。 它们可以帮助伤口闭合,刺激细胞迁移并具有抗炎特性。
(参考:Zhang等,2017; Kuo等,2019)(References: Zhang et al., 2017; Kuo et al., 2019)
药物输送系统:鼠李糖脂可以用作药物输送系统中的表面活性剂,以改善疏水药物的溶解度,稳定性和生物利用度。 它们可以形成自组装的纳米结构,并增强对特定目标部位的药物递送。
(参考:Bai等,2016; Luo等,2019)(References: Bai et al., 2016; Luo et al., 2019)
癌症疗法:鼠李糖脂在癌症治疗中可能显示出潜力。 它们可以在癌细胞中诱导凋亡(程序性细胞死亡),抑制肿瘤的生长并增强化学疗法药物的功效。
(参考:Chen等,2013; Lai等,2019)(References: Chen et al., 2013; Lai et al., 2019)
抗炎剂:鼠李糖脂具有抗炎特性,可以调节免疫反应。 他们的潜力在治疗炎症状态(例如类风湿关节炎和炎症性肠病)方面进行了研究。
(参考:Dusane等,2011; Yuan等,2014)(References: Dusane et al., 2011; Yuan et al., 2014)
皮肤护理产品:由于其具有乳化和保湿的特性,因此探索了鼠李糖脂在护肤产品中的使用。 它们可用于乳膏,乳液和清洁剂等配方中,以改善皮肤含水成分和屏障功能。
(参考:Sotirova等,2008; Ansari等,2018)(References: Sotirova et al., 2008; Ansari et al., 2018)
牙科应用:鼠李糖脂在防止牙齿斑块形成和治疗口腔感染方面表现出了潜在可能。 它们可以抑制口腔病原体的生长,并破坏细菌对牙齿表面的粘附。
(参考文献:Rodrigues等,2017; Gupta等,2021)(References: Rodrigues et al., 2017; Gupta et al., 2021)
NatFibra™ Biosurf产品单页

如需索取单页请致电